左岸論壇

標題: EMC-Bead磁珠 [打印本頁]

作者: 小學徒    時間: 2022-12-24 22:22
標題: EMC-Bead磁珠
源低通濾波器的設計中,一般使用LC及RC這兩種搭配模式。
LC低通濾波器是二階低通濾波器,對截止頻率之外的噪音有比較好的衰減。同時,電感的直流阻抗較低,因此可以通過大電流,常用作電源濾波器或者RF高頻濾波器。因為有了有源濾波器的「競爭」,無源濾波器的應用場合被壓縮。LC濾波器的應用領域被擠到了兩個極端的區域,大電流場合(電源濾波)和高頻信號濾波(由於有源濾波器的帶寬及成本限制,LC濾波器常被用RF信號的濾波,既便宜又好用)。


RC低通濾波器是一階濾波器,濾波特性沒用LC好(截止頻率之外的區域相比LC濾波器顯得「拖泥帶水」),而且也無法通過大電流,因此多用於信號線的濾波。
當然,RC濾波器也有較LC濾波器沒有的優點,LC濾波器對噪音只是「引導」,引導到地平面,所以噪音還是在的,可能會去繼續「禍害」其它模塊;RC濾波器在引導的同時,還會通過電阻發熱的方式削弱噪音,當然對信號本身也是一視同仁地進行「削弱」。因此,小電流的模擬模塊的電源端,有時會用RC濾波,這樣效果更佳。
磁珠(Ferrite Bead)是對LC及RC濾波器的集大成者,磁珠配合電容組成低通濾波器。磁珠在低頻區域表現為感性(Inductive Region),在中頻區域表現為阻性(Resistive Region),在高頻區域表現為容性(Capacitive Region)。

                               
登錄/註冊後可看大圖


圖1、 磁珠的ZRX 特性曲線
因此,在理論上(理想中)可以使得由磁珠和電容組合的低通濾波器在信號帶寬範圍內表現為感性,在信號帶寬之外特別是針對特定的頻率區間(噪音最嚴重的頻點)表現為阻性。所以,磁珠多用於EMI性能的改善之中,因為它對特定頻率區間的噪音抑制有特效。
二、磁珠有啥?
磁珠的特性曲線側重點各異,有高損耗的(B)、高頻的(D,F)、低插入損耗的,等等。根據實際需求選擇合適的磁珠很重要。

                               
登錄/註冊後可看大圖
圖2、磁珠的特性歸類
注意:低頻區、中頻區及高頻區是一個相對的概念,沒有絕對的劃分規則。磁珠所謂的低頻區,相對於LC及RC濾波來說,會是比較高頻的。一般來說,磁珠起碼可以保證其在1MHZ以內保證電感特性,多數會在10MHZ以上。如果是高頻磁珠,這個區域將會是幾百MHZ甚至上達GHZ。


圖3,舉例說明了不同類型的磁珠對信號質量的影響。

                               
登錄/註冊後可看大圖
圖3、 不同特性的磁珠對信號質量的影響比較
三、磁珠是啥?
將磁珠應用於信號濾波,工程師多憑經驗及感覺選擇一粒「差不多」的,然後在測試中再進行調整,在調整時也多半是「嘗試」、拼湊。這麼做看起來不專業,難道就沒有「章法」和「套路」嗎?
實際上,這種「摸」、「拼」、「湊」的方式是比較高效的方式,工程應用不是科研,效率優先。這有點像人感冒了,自行去藥店配點感冒藥吃,一般來說吃了藥,一周也就好了,而不必逢病必做一次全身檢查,沒必要也不現實。
磁珠就是電路設計中的「感冒藥」,也許選的那包藥不是最優的,當然也不是最壞的。話雖如此說,但是還是有必要介紹一下磁珠的理論模型的構建,建模是為了仿真,仿真是為了減少選擇的盲目性及儘可能地減少後續的調試時間。


磁珠在外觀上和陶瓷電容相似,一般來說,磁珠的顏色是黑色的,而電容的顏色是土黃色的。挖開磁珠,它的物理結構類似一顆貼片的繞線電感,所以它在低頻段表現為電感特性,特性由磁珠的ZRX曲線中的X來描述。
磁珠在中頻段表現為阻性,特性曲線是R。這不是直流阻抗(Rdc)而是交流阻抗(Rac),實際上是磁芯損耗(Core lossess);當Rac=XL時,這個頻率點被稱為交越頻率(crossover frequency) 。交越之後感性XL開始衰減,交流阻抗Rac繼續一路向上至頂點後衰減,磁珠最終在高頻區呈現為容性。
磁珠的特性中包含感性,這是因為它在結構上類似一個貼片電感,然後凡是線圈都會有直流阻抗(Rdc);然後,電感線圈會有磁芯損耗,這是磁珠的交流阻抗(Rac)。磁珠的感性和阻性是並列的兩條路徑,至於由誰來主導信號走向,由信號頻率來決定,低頻時感性特徵主導,頻率升高後,阻性的影響逐漸上升。

                               
登錄/註冊後可看大圖


圖4、磁珠的模型
以上分析不難理解,可以很自然地推導出如圖4所示的磁珠的等效電路模型。但是,磁珠的容性該如何來理解呢?為此,圖5很直觀地解釋了磁珠的容性的產生機理。

                               
登錄/註冊後可看大圖
圖5、磁珠的寄生電容的產生原因
貼片器件的兩端有兩個電極,然後電極與內部的線圈之間會有電容效應,即寄生電容。輸入信號的頻率逐步提升,寄生電容所提供的阻抗越來越小,最終高頻信號會由寄生電容直接從線圈上跨越過去,寄生電容在高頻時屏蔽了磁珠線圈,因此寄生電容(Cpar)是和感性及阻性並列的第三條阻抗路徑。
磁珠的感性及阻性是我們需要的參數及重點關注的參數,選擇磁珠時會根據噪音的頻段選擇對應頻段的Rac來抑制;磁珠的寄生電容限制了磁珠的頻率範圍,它為磁珠的頻率範圍設置了一個上限。



                               
登錄/註冊後可看大圖
圖6、高頻磁珠採用垂直線圈減小寄生電容
圖6是高頻磁珠,它調整了線圈的擺放方式,由水平調整為垂直,這樣減了寄生電容的影響,提升了磁珠的應用頻率上限。
綜上所述,磁珠採用電感類似的繞線實現,因此磁珠首先是一個電感,繞線都是有直流阻抗的,所以磁珠的模型首先是(L+Rdc);接著,隨著頻率提高,磁珠的阻性開始突顯,經過某一個交越頻率之後,磁珠呈阻性Rac,所以在原先模型上並聯了Rac;頻率繼續提高,寄生電容屏蔽了磁珠,因此在L及Rac的基礎上再並聯了C。由此構建磁珠的等效模型,如圖4所示。
四、磁珠的建模及優化
雖然圖4的磁珠模型很方便、很直觀地可以理解。但是,約定俗成,大家更加傾向於採用圖7所構建的磁珠模型。

                               
登錄/註冊後可看大圖
圖7、磁珠的通用模型
其中,Rdc可以直接查閱磁珠的規格書可獲得;而Rac、L_bead及Cpar無法直接獲取,但是可以根據規格書中的ZRX特性曲線計算所得,如圖8示例。

                               
登錄/註冊後可看大圖
圖8、磁珠的ZRX特性曲線(Tyco Electronics BMB2A1000LN2)
Rdc查規格書得知,為0.3Ohm;Rac由圖8直接讀取Z曲線的頂點,Rac=1.08KOhm。
其餘兩個參數L_bead和Cpar可由下列計算公式計算:
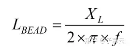
公式1.1:

                               
登錄/註冊後可看大圖
公式1.2:
由圖8:
XL=233 Ohm時,f約等於30.7MHz, 計算得到L_bead=233/(2*3.14*30.7M)=1.208uF;
Xc=118.1 Ohm時,f約等於803MHz, 計算得到Cpar=1/(2*3.14*118.1*803M)=1.678pF;
由是得到磁珠的模型:

                               
登錄/註冊後可看大圖
圖9,磁珠的仿真模型(Tyco Electronics BMB2A1000LN2)
注意:
以上算例中,Rdc和Rac的取值是在固定位置讀取,Rdc在規格書中讀取,Rac在ZRX特性曲線中Z特性曲線的頂點上讀取。
對XL和Xc的取點雖說不唯一,但是請注意公式1.1和1.2的適用範圍,磁珠的阻抗(Z)有感性、阻性及容性三部分組合合成,計算L_bead的公式1.1隻在感性區域內成立,公式1.2隻在容性區域內成立。
同時,為了保證公式的精度,讀取數據應在曲線相對比較「純粹」的區域:算例中,在30.7MHZ處讀取Z的阻抗,並近似等於XL阻抗(忽略此處曲線R的貢獻);在803MHZ處讀取Z的阻抗,並近似等於Xc阻抗(忽略此處曲線R的貢獻)。
如果覺得以上建模方式主觀性較強(對XL及Xc的取點上主觀性很強),可以嘗試下面介紹的頂點採樣的方法,這樣可以在一定程度上避免因為取點的隨意性引起的建模誤差。

                               
登錄/註冊後可看大圖
圖10、磁珠的ZRX特性曲線(Tyco Electronics BMB2A1000LN2)
頂點建模法中,分別讀取X和Z曲線頂點的阻抗值(Xpeak,Zpeak)和對應的頻率(f_xpeak, f_zpeak),然後使用下列公式1.3、公式1.4及公式1.5,分別計算L_bead、Rac和Cpar。
公式1.3:
公式1.4:
公式1.5:
五、動態變化著的磁珠的特性曲線

                               
登錄/註冊後可看大圖
圖11、磁珠的ZRX特性曲線隨著DC電流的變化 (TDK MPZ1608S101A)
磁珠規格書中的磁珠ZRX特性是磁珠的靜態特性(DC Current=0mA時測得),圖11表明磁珠的阻抗特性會隨著流過的DC電流增加而降低。在使用磁珠時,特別是在電源場合應用磁珠時,需要考慮到磁珠的特性隨著電流增加而發生變化的趨勢。
因此,磁珠的建模與仿真只是為了提供一個方向和趨勢,而實際情況會於仿真結果會有較大的差異,因此在使用磁珠時還是免不了「湊」、「嘗試」的看起來很不專業但實際上比較高效的方式。


作者: 小學徒    時間: 2022-12-24 22:23
https://read01.com/4DgODDE.html#.Y6cHS-pByUk
作者: 小學徒    時間: 2022-12-24 22:27
在設計電子產品時,為了使共享主電源的各個分系統之間互不干擾,保持高頻相互隔離,我們常用的一種有效方法則是在電源端使用鐵氧體磁珠。鐵氧體磁珠可在目標寬頻率範圍內過濾高頻雜訊。它在目標頻率範圍內具 有電阻特性,並以熱量的形式耗散雜訊能量。鐵氧體磁珠與供電軌串聯,如果磁珠的兩側與電容一起接地。這樣便形成了一 個低通濾波器網路,進一步降低高頻電源雜訊。
當然,若系統設計中對鐵氧體磁珠使用不當也產是有害的。有一些例子可以說明:由於磁珠和去耦電容搭配用於低通 濾波而導致產生干擾諧振;直流偏置電流的依賴性導致磁珠的 EMI 抑制能力下降。正確理解並充分考慮鐵氧體磁珠的特性後,才能解決並避免這些問題。
使用方法
" data-caption="" data-rawwidth_="625" data-rawheight="324" width_="625" src="https://i1.wp.com/pic3.zhimg.com/v2-16e8391328113c6d54ada4b415f802f0_r.jpg" data-actualsrc="//i1.wp.com/pic3.zhimg.com/v2-16e8391328113c6d54ada4b415f802f0_b.jpg" style="border: 0px; outline: 0px; vertical-align: baseline; background: transparent; font-style: inherit; max-width: 100%; font-family: inherit; font-weight: inherit;">
以下將討論系統設計人員在電源系統中使用鐵氧體磁珠時的注意 事項,比如直流偏置電流變化時的阻抗與頻率特性,以及干擾 LC 諧振效應。最後,為了解決干擾諧振問題,介紹了阻尼技術, 並比較了各項阻尼方法的有效性。




為演示鐵氧體磁珠作為輸出濾波器影響而採用的器件是一款 2 A/1.2 A DC-DC 開關調節器,具有獨立的正輸出和負輸出 (ADP5071)。文中所用的鐵氧體磁珠主要採用晶元類型表貼 封裝。
鐵氧體磁珠簡化模型與模擬
鐵氧體磁珠能夠建模為一個由電阻、電感和電容組成的簡化電 路,如圖1a 所示。RDC 對應磁珠的直流電阻。CPAR、LBEAD 和RAC 分別表示寄生電容、磁珠電感和與磁珠有關的交流電阻(交流 磁芯損耗)。
" data-caption="" data-rawwidth_="641" data-rawheight="328" width_="641" src="https://i1.wp.com/pic1.zhimg.com/v2-d803f780baf0c843fede3e5589b8b02a_r.jpg" data-actualsrc="//i1.wp.com/pic1.zhimg.com/v2-d803f780baf0c843fede3e5589b8b02a_b.jpg" style="border: 0px; outline: 0px; vertical-align: baseline; background: transparent; font-style: inherit; max-width: 100%; font-family: inherit; font-weight: inherit;">
鐵氧體磁珠可依據三個響應區域分類:感性、阻性和容性。查 看ZRX 曲線便可確定這些區域(如圖1b 所示),其中Z 表示 阻抗、R 表示電阻、X 表示磁珠的電抗。為了降低高頻雜訊,該元件需用作電阻,可使高頻雜訊並以熱量的形式耗 散,磁 珠則必須處於阻性區域內;電磁干擾 (EMI) 濾波應用尤其需注意 這一點。該阻性區域出現在磁珠交越頻率 (X = R) 之後,直至磁珠變為 容性的那一點為止。此容性點位置為容性電抗 (–X) 絕對值等於 R 的頻率處。
某些情況下,簡化電路模型可用來近似計算鐵氧體磁珠高達 sub-GHz 範圍的阻抗特性。
本文以Tyco Electronics BMB2A1000LN2 多層鐵氧體磁珠為例。 圖1b 顯示了在零直流偏置電流條件下使用阻抗分析儀測得的 BMB2A1000LN2 ZRX 響應。
在測得的ZRX 曲線上,磁珠表現出最大感性特性(Z ≈ XL;LBEAD) 的區域中,該磁珠的電感可根據下列公式計算:
" data-caption="" data-rawwidth_="288" data-rawheight="109" class="content_image lazy" width_="288" data-actualsrc="//i1.wp.com/pic3.zhimg.com/v2-5359790b6b7f3e42d42c2ce3cfb6b8ec_b.jpg" style="border: 0px; outline: 0px; vertical-align: baseline; background: transparent; font-style: inherit; max-width: 100%; font-family: inherit; font-weight: inherit;">
其中:




f 是區域內磁珠表現為感性的任意頻率點。本例中,f = 30.7 MHz。 XL 是30.7 MHz 時的電抗,數值為233 Ω。
由公式1 得出的電感值 (LBEAD) 等於1.208 μH。
在磁珠表現出最大容性特性(Z ≈ | XC|;CPAR)的區域中,寄生 電容可根據下列公式計算:
" data-caption="" data-rawwidth_="371" data-rawheight="122" class="content_image lazy" width_="371" data-actualsrc="//i1.wp.com/pic3.zhimg.com/v2-dd6bd03e49270c71083f3631062930c6_b.jpg" style="border: 0px; outline: 0px; vertical-align: baseline; background: transparent; font-style: inherit; max-width: 100%; font-family: inherit; font-weight: inherit;">
其中:
f 是區域內磁珠表現為容性的任意頻率點。本例中,f = 803 MHz |XC|是803 MHz 時的電抗,數值為118.1 Ω。
由公式2 得出的寄生電容值 (CPAR) 等於1.678 pF。
根據製造商的數據手冊,直流電阻 (RDC) 等於300 mΩ。交流電 阻 (RAC) 是磁珠表現為純阻性時的峰值阻抗。從Z 中減去RDC 即可得出RAC。由於相比峰值阻抗,RDC 極小,因而可以忽略。 因此,本例中RAC 等於1.082 kΩ。使用ADIsimPE 電路模擬工具 (由SIMetrix/SIMPLIS 供電)生成阻抗與頻率響應的關係。圖 2a 顯示了電路模擬模型,並提供計算值;圖2b 顯示了實際測量 結果以及模擬結果。本例中,從電路模擬模型得出的阻抗曲線 與測量曲線嚴格匹配。
" data-caption="" data-rawwidth_="657" data-rawheight="334" width_="657" src="https://i1.wp.com/pic2.zhimg.com/v2-b0378795d81329c7138b15ebf00a6e3b_r.jpg" data-actualsrc="//i1.wp.com/pic2.zhimg.com/v2-b0378795d81329c7138b15ebf00a6e3b_b.jpg" style="border: 0px; outline: 0px; vertical-align: baseline; background: transparent; font-style: inherit; max-width: 100%; font-family: inherit; font-weight: inherit;">

直流偏置電流考慮因素
在雜訊濾波電路設計和分析中,採用鐵氧體磁珠模型很有幫助。 例如,當與去耦電容一同組成低通濾波器網路時,對電感進行 近似計算對於決定諧振頻率截止很有幫助。然而,本文中的電路模型是零直流偏置電流情況下的近似。此模型可能隨直流偏 置電流的變化而改變,而在其他情況下可能需要採用更複雜的 模型。




為電源應用選擇正確的鐵氧體磁珠不僅需要考慮濾波器帶寬, 還需考慮磁珠相對於直流偏置電流的阻抗特性。大部分情況下, 製造商僅指定磁珠在100 MHz 的阻抗並公布零直流偏置電流時 的頻率響應曲線數據手冊。然而,將鐵氧體磁珠用作電源濾波 時,通過磁珠的負載電流始終不為零,並且隨著直流偏置電流 從零開始增長,這些參數也會隨之迅速改變。

隨著直流偏置電流的增加,磁芯材料開始飽和,導致鐵氧體磁 珠電感大幅下降。電感飽和度根據組件磁芯所用的材料而有所 不同。圖3a 顯示了兩個鐵氧體磁珠的典型直流偏置依賴情況。 額定電流為50%時,電感最多下降90%。
" data-caption="" data-rawwidth_="642" data-rawheight="553" width_="642" src="https://i1.wp.com/pic1.zhimg.com/v2-b3678ac5b0ede477adeece07c0b6a3a1_r.jpg" data-actualsrc="//i1.wp.com/pic1.zhimg.com/v2-b3678ac5b0ede477adeece07c0b6a3a1_b.jpg" style="border: 0px; outline: 0px; vertical-align: baseline; background: transparent; font-style: inherit; max-width: 100%; font-family: inherit; font-weight: inherit;">

如需高效過濾電源雜訊,則就設計原則來說,應在額定直流電 流約20%處使用鐵氧體磁珠。如這兩個示例所示,在額定電流 20%處,電感下降至約30%(6 A 磁珠)以及約15%(3 A 磁珠)。 鐵氧體磁珠的電流額定值是器件在指定升溫情況下可承受的最 大電流值,並非供濾波使用的真實工作點。
此外,直流偏置電流的效果可通過頻率範圍內阻抗值的減少而 觀察到,進而降低鐵氧體磁珠的有效性和消除EMI 的能力。圖 3b 和圖3c 顯示了鐵氧體磁珠阻抗如何隨直流偏置電流的變化而 改變。只需施加額定電流的50%,100 MHz 時的有效阻抗就會 從100 Ω 大幅下降至10 Ω(TDK MPZ1608S101A,100 Ω,3 A, 0603),以及從70 Ω 下降至15 Ω(Würth Elektronik 742 792 510, 70 Ω,6 A,1812)。
系統設計人員必須完全了解直流偏置電流對磁珠電感和有效阻 抗的影響,因為這對於要求高電源電流的應用可能十分重要。
LC 諧振效應
當鐵氧體磁珠與去耦電容一同應用時,可能產生諧振尖峰。這 個經常被忽視的效應可能會損害性能,因為它可能會放大給定 系統的紋波和雜訊,而非衰減它們。很多情況下,此尖峰發生 在DC-DC 轉換器的常用開關頻率附近。
當低通濾波器網路(由鐵氧體磁珠電感和高Q 去耦電容組成) 的諧振頻率低於磁珠的交越頻率時,發生尖峰。濾波結果為欠 阻尼。圖4a 顯示的是TDK MPZ1608S101A 測量阻抗與頻率的 關係曲線。阻性元件(與干擾能量的耗散有關)在達到大約20 MHz 到30 MHz 範圍之前影響不大。低於此頻率則鐵氧體磁珠 依然具有極高的Q 值,且用作理想電感。典型鐵氧體磁珠濾波 器的LC 諧振頻率一般位於0.1 MHz 到10 MHz 範圍內。對於300 kHz 到5 MHz 範圍內的典型開關頻率,需要更多阻尼來降低濾 波器Q 值。
" data-caption="" data-rawwidth_="667" data-rawheight="291" width_="667" src="https://i1.wp.com/pic3.zhimg.com/v2-56bf66e331bd57f0e7c09411cb53b0d5_r.jpg" data-actualsrc="//i1.wp.com/pic3.zhimg.com/v2-56bf66e331bd57f0e7c09411cb53b0d5_b.jpg" style="border: 0px; outline: 0px; vertical-align: baseline; background: transparent; font-style: inherit; max-width: 100%; font-family: inherit; font-weight: inherit;">
圖4b 顯示了此效應的一個示例;圖中,磁珠的S21 頻率響應和 電容低通濾波器顯示了峰值效應。此例中使用的鐵氧體磁珠是 TDK MPZ1608S101A(100 Ω,3 A,0603),使用的去耦電容 是Murata GRM188R71H103KA01 低ESR 陶瓷電容(10 nF,X7R, 0603)。負載電流為微安級別。
無阻尼鐵氧體磁珠濾波器可能表現出從約10 dB 到約15 dB的尖 峰,具體取決於濾波器電路Q 值。圖4b 中,尖峰出現在2.5 MHz 左右,增益高達10 dB。




此外,信號增益在1 MHz 到3.5 MHz 範圍內可見。如果該尖峰 出現在開關穩壓器的工作頻段內,那麼可能會有問題。它會放 大幹擾開關偽像,嚴重影響敏感負載的性能,比如鎖相環 (PLL)、 壓控振蕩器(VCO) 和高解析度模數轉換器 (ADC)。圖4b 中顯示 的結果為採用極輕負載(微安級別),但對於只需要數微安到1 mA 負載電流的電路部分或者在某些工作模式下關閉以節省功 耗的部分而言,這是一個實用的應用。這個潛在的尖峰在系統 中產生了額外的雜訊,可能會導致不良串擾。
例如,圖5 顯示了一個ADP5071 應用電路,該電路採用了磁珠濾 波器;圖6 顯示了正輸出端的頻譜曲線。開關頻率設為2.4 MHz, 輸入電壓設為9 V,輸出電壓設為16 V,負載電流設為5 mA。
" data-caption="" data-rawwidth_="688" data-rawheight="460" width_="688" src="https://i1.wp.com/pic4.zhimg.com/v2-6e57a0e97151e9d4f010132d619a93fc_r.jpg" data-actualsrc="//i1.wp.com/pic4.zhimg.com/v2-6e57a0e97151e9d4f010132d619a93fc_b.jpg" style="border: 0px; outline: 0px; vertical-align: baseline; background: transparent; font-style: inherit; max-width: 100%; font-family: inherit; font-weight: inherit;">
" data-caption="" data-rawwidth_="672" data-rawheight="559" width_="672" src="https://i1.wp.com/pic2.zhimg.com/v2-0f5c77cfc98a2f3acf69114742ab9168_r.jpg" data-actualsrc="//i1.wp.com/pic2.zhimg.com/v2-0f5c77cfc98a2f3acf69114742ab9168_b.jpg" style="border: 0px; outline: 0px; vertical-align: baseline; background: transparent; font-style: inherit; max-width: 100%; font-family: inherit; font-weight: inherit;">
圖6. ADP5071 頻譜輸出(5 mA 負載)。
由於磁珠的電感和10 nF 陶瓷電容,諧振尖峰出現在約2.5 MHz 處。出現了10 dB 增益,而非衰減2.4 MHz 處的基頻紋波頻率。
影響諧振尖峰的其他因素是鐵氧體磁珠濾波器的串聯阻抗和負 載阻抗。在較電源內阻下,尖峰大幅下降,並被阻尼所減弱。 然而,採用這種方法會導致負載調節下降,從而失去實用性。 由於串聯電阻下降,輸出電壓隨負載電流而下降。負載阻抗還 會影響峰值響應。輕載條件下的尖峰更嚴重。
阻尼方法
本節介紹三種阻尼方法,系統工程師可用來大幅降低諧振尖峰 電平(見圖7)。
" data-caption="" data-rawwidth_="675" data-rawheight="462" width_="675" src="https://i1.wp.com/pic2.zhimg.com/v2-f50078241c40a24474dba3a3bf4aa5c2_r.jpg" data-actualsrc="//i1.wp.com/pic2.zhimg.com/v2-f50078241c40a24474dba3a3bf4aa5c2_b.jpg" style="border: 0px; outline: 0px; vertical-align: baseline; background: transparent; font-style: inherit; max-width: 100%; font-family: inherit; font-weight: inherit;">




方法A 是在去耦電容路徑上添加一個串聯電阻,可抑制系統諧 振,但會降低高頻旁路有效性。方法B 是在鐵氧體磁珠兩端添 加一個小數值並聯電阻,這樣也會抑制系統諧振。但是,在高 頻時濾波器的衰減特性會下降。圖8 顯示了MPZ1608S101A 使 用和不使用10 Ω 並聯電阻的情況下阻抗與頻率的關係曲線。淺 綠色虛線表示磁珠採用10 Ω 並聯電阻的總阻抗。磁珠阻抗和電 阻組合大幅下降,並主要由10 Ω 電阻決定。但是,採用10 Ω 並聯電阻時的3.8 MHz 交越頻率遠低於磁珠自身在40.3 MHz 時 的交越頻率。在低得多的頻率範圍內磁珠表現出阻性,可降低Q 值,改善阻尼性能。
" data-caption="" data-rawwidth_="662" data-rawheight="273" width_="662" src="https://i1.wp.com/pic1.zhimg.com/v2-8a8079e6be71c904be431c99470b1fee_r.jpg" data-actualsrc="//i1.wp.com/pic1.zhimg.com/v2-8a8079e6be71c904be431c99470b1fee_b.jpg" style="border: 0px; outline: 0px; vertical-align: baseline; background: transparent; font-style: inherit; max-width: 100%; font-family: inherit; font-weight: inherit;">
方法C 是添加大電容 (CDAMP) 與串聯阻尼電阻 (RDAMP) 的組合,通常這種方法最佳。
添加電容和電阻可抑制系統諧振,同時不會降低高頻時的旁路 有效性。採用此種方法可以避免大隔直電容導致電阻功耗過大。 該電容必須遠大於所有去耦電容之和,這降低了所需的阻尼電 阻值。在諧振頻率處,電容阻抗必須遠小於阻尼電阻,以便減 少尖峰。
圖9 顯示了ADP5071 正輸出頻譜曲線,其應用電路採用阻尼方 法C,如圖5 所示。CDAMP 和RDAMP 分別是1 μF 陶瓷電容和2 Ω SMD 電阻。2.4 MHz 時的基頻紋波降低5 dB 增益,而非圖9 中 顯示的10 dB 增益。
" data-caption="" data-rawwidth_="684" data-rawheight="556" width_="684" src="https://i1.wp.com/pic4.zhimg.com/v2-7021c4bbc7fd537cf5f399bc5da16d5f_r.jpg" data-actualsrc="//i1.wp.com/pic4.zhimg.com/v2-7021c4bbc7fd537cf5f399bc5da16d5f_b.jpg" style="border: 0px; outline: 0px; vertical-align: baseline; background: transparent; font-style: inherit; max-width: 100%; font-family: inherit; font-weight: inherit;">
圖9. 採用阻尼方法C時的ADP5071頻譜輸出以及磁珠和電容低 通濾波器。 一般而言,方法C 最為優雅,通過添加一個電阻和陶瓷電容的 串聯組合實現,無需購買昂貴的專用阻尼電容。比較可靠的設 計始終包含電阻,可在原型製作時方便調試,如果不需要還可 移除。唯一缺點是額外的元件成本和更多的電路板佔位空間。 結論 本文討論了使用鐵氧體磁珠時必須考慮的關鍵因素。本文還詳 細介紹了一個簡單的電路模型,表示磁珠。模擬結果在零直流 偏置電流處表現出良好的實際測量阻抗與頻率響應的相關性。 本文還討論了直流偏置電流對鐵氧體磁珠特性的影響。結果表 明超過額定電流20%的直流偏置電流可能會導致磁珠電感的大 幅下降。這樣的電流還會降低磁珠的有效阻抗,削弱EMI 濾波 能力。在供電軌上以直流偏置電流方式使用鐵氧體磁珠時,應 確保電流不會導致鐵氧體材料飽和以及產生電感的大幅變化。 由於鐵氧體磁珠是感性的,將其與高Q 值去耦電容一同使用時 應當非常謹慎。如果不謹慎,會在電路中產生干擾諧振,弊大 於利。本文中提出的阻尼方法在負載上採用大去耦電容與阻尼 電阻的串聯組合,從而避免了干擾諧振。正確使用鐵氧體磁珠 可以高效而廉價地降低高頻雜訊和開關瞬變。


作者: 小學徒    時間: 2022-12-24 22:27
https://www.getit01.com/p2018050930597106/
作者: 小學徒    時間: 2022-12-24 22:33
何为磁珠?
无源低通滤波器的设计中,一般使用LC及RC这两种搭配模式。

LC低通滤波器是二阶低通滤波器,对截止频率之外的噪音有比较好的衰减。同时,电感的直流阻抗较低,因此可以通过大电流,常用作电源滤波器或者RF高频滤波器。因为有了有源滤波器的“竞争”,无源滤波器的应用场合被压缩。LC滤波器的应用领域被挤到了两个极端的区域,大电流场合(电源滤波)和高频信号滤波(由于有源滤波器的带宽及成本限制,LC滤波器常被用RF信号的滤波,既便宜又好用)。

RC低通滤波器是一阶滤波器,滤波特性没用LC好(截止频率之外的区域相比LC滤波器显得“拖泥带水”),而且也无法通过大电流,因此多用于信号线的滤波。

当然,RC滤波器也有较LC滤波器没有的优点,LC滤波器对噪音只是“引导”,引导到地平面,所以噪音还是在的,可能会去继续“祸害”其它模块;RC滤波器在引导的同时,还会通过电阻发热的方式削弱噪音,当然对信号本身也是一视同仁地进行“削弱”。因此,小电流的模拟模块的电源端,有时会用RC滤波,这样效果更佳。

磁珠(Ferrite Bead)是对LC及RC滤波器的集大成者,磁珠配合电容组成低通滤波器。磁珠在低频区域表现为感性(Inductive Region),在中频区域表现为阻性(Resistive Region),在高频区域表现为容性(Capacitive Region)。

                               
登錄/註冊後可看大圖

图1、 磁珠的ZRX 特性曲线
因此,在理论上(理想中)可以使得由磁珠和电容组合的低通滤波器在信号带宽范围内表现为感性,在信号带宽之外特别是针对特定的频率区间(噪音最严重的频点)表现为阻性。所以,磁珠多用于EMI性能的改善之中,因为它对特定频率区间的噪音抑制有特效。

二、磁珠有啥?
磁珠的特性曲线侧重点各异,有高损耗的(B)、高频的(D,F)、低插入损耗的,等等。根据实际需求选择合适的磁珠很重要。

                               
登錄/註冊後可看大圖

图2、磁珠的特性归类
注意:低频区、中频区及高频区是一个相对的概念,没有绝对的划分规则。磁珠所谓的低频区,相对于LC及RC滤波来说,会是比较高频的。一般来说,磁珠起码可以保证其在1MHZ以内保证电感特性,多数会在10MHZ以上。如果是高频磁珠,这个区域将会是几百MHZ甚至上达GHZ。

图3,举例说明了不同类型的磁珠对信号质量的影响。

                               
登錄/註冊後可看大圖

图3、 不同特性的磁珠对信号质量的影响比较
三、磁珠是啥?
将磁珠应用于信号滤波,工程师多凭经验及感觉选择一粒“差不多”的,然后在测试中再进行调整,在调整时也多半是“尝试”、拼凑。这么做看起来不专业,难道就没有“章法”和“套路”吗?

实际上,这种“摸”、“拼”、“凑”的方式是比较高效的方式,工程应用不是科研,效率优先。这有点像人感冒了,自行去药店配点感冒药吃,一般来说吃了药,一周也就好了,而不必逢病必做一次全身检查,没必要也不现实。

磁珠就是电路设计中的“感冒药”,也许选的那包药不是最优的,当然也不是最坏的。话虽如此说,但是还是有必要介绍一下磁珠的理论模型的构建,建模是为了仿真,仿真是为了减少选择的盲目性及尽可能地减少后续的调试时间。

磁珠在外观上和陶瓷电容相似,一般来说,磁珠的颜色是黑色的,而电容的颜色是土黄色的。挖开磁珠,它的物理结构类似一颗贴片的绕线电感,所以它在低频段表现为电感特性,特性由磁珠的ZRX曲线中的X来描述。

磁珠在中频段表现为阻性,特性曲线是R。这不是直流阻抗(Rdc)而是交流阻抗(Rac),实际上是磁芯损耗(Core lossess);当Rac=XL时,这个频率点被称为交越频率(crossover frequency) 。交越之后感性XL开始衰减,交流阻抗Rac继续一路向上至顶点后衰减,磁珠最终在高频区呈现为容性。

磁珠的特性中包含感性,这是因为它在结构上类似一个贴片电感,然后凡是线圈都会有直流阻抗(Rdc);然后,电感线圈会有磁芯损耗,这是磁珠的交流阻抗(Rac)。磁珠的感性和阻性是并列的两条路径,至于由谁来主导信号走向,由信号频率来决定,低频时感性特征主导,频率升高后,阻性的影响逐渐上升。

                               
登錄/註冊後可看大圖

图4、磁珠的模型
以上分析不难理解,可以很自然地推导出如图4所示的磁珠的等效电路模型。但是,磁珠的容性该如何来理解呢?为此,图5很直观地解释了磁珠的容性的产生机理。

                               
登錄/註冊後可看大圖

图5、磁珠的寄生电容的产生原因
贴片器件的两端有两个电极,然后电极与内部的线圈之间会有电容效应,即寄生电容。输入信号的频率逐步提升,寄生电容所提供的阻抗越来越小,最终高频信号会由寄生电容直接从线圈上跨越过去,寄生电容在高频时屏蔽了磁珠线圈,因此寄生电容(Cpar)是和感性及阻性并列的第三条阻抗路径。

磁珠的感性及阻性是我们需要的参数及重点关注的参数,选择磁珠时会根据噪音的频段选择对应频段的Rac来抑制;磁珠的寄生电容限制了磁珠的频率范围,它为磁珠的频率范围设置了一个上限。

                               
登錄/註冊後可看大圖

图6、高频磁珠采用垂直线圈减小寄生电容
图6是高频磁珠,它调整了线圈的摆放方式,由水平调整为垂直,这样减了寄生电容的影响,提升了磁珠的应用频率上限。

综上所述,磁珠采用电感类似的绕线实现,因此磁珠首先是一个电感,绕线都是有直流阻抗的,所以磁珠的模型首先是(L+Rdc);接着,随着频率提高,磁珠的阻性开始突显,经过某一个交越频率之后,磁珠呈阻性Rac,所以在原先模型上并联了Rac;频率继续提高,寄生电容屏蔽了磁珠,因此在L及Rac的基础上再并联了C。由此构建磁珠的等效模型,如图4所示。

四、磁珠的建模及优化
虽然图4的磁珠模型很方便、很直观地可以理解。但是,约定俗成,大家更加倾向于采用图7所构建的磁珠模型。

                               
登錄/註冊後可看大圖

图7、磁珠的通用模型
其中,Rdc可以直接查阅磁珠的规格书可获得;而Rac、L_bead及Cpar无法直接获取,但是可以根据规格书中的ZRX特性曲线计算所得,如图8示例。

                               
登錄/註冊後可看大圖

图8、磁珠的ZRX特性曲线(Tyco Electronics BMB2A1000LN2)
Rdc查规格书得知,为0.3Ohm;Rac由图8直接读取Z曲线的顶点,Rac=1.08KOhm。
其余两个参数L_bead和Cpar可由下列计算公式计算:
公式1.1:

                               
登錄/註冊後可看大圖
公式1.2:

                               
登錄/註冊後可看大圖
由图8:
XL=233 Ohm时,f约等于30.7MHz, 计算得到L_bead=233/(2*3.14*30.7M)=1.208uF;
Xc=118.1 Ohm时,f约等于803MHz, 计算得到Cpar=1/(2*3.14*118.1*803M)=1.678pF;
由是得到磁珠的模型:

                               
登錄/註冊後可看大圖

图9,磁珠的仿真模型(Tyco Electronics BMB2A1000LN2)
注意:
以上算例中,Rdc和Rac的取值是在固定位置读取,Rdc在规格书中读取,Rac在ZRX特性曲线中Z特性曲线的顶点上读取。

对XL和Xc的取点虽说不唯一,但是请注意公式1.1和1.2的适用范围,磁珠的阻抗(Z)有感性、阻性及容性三部分组合合成,计算L_bead的公式1.1只在感性区域内成立,公式1.2只在容性区域内成立。
同时,为了保证公式的精度,读取数据应在曲线相对比较“纯粹”的区域:算例中,在30.7MHZ处读取Z的阻抗,并近似等于XL阻抗(忽略此处曲线R的贡献);在803MHZ处读取Z的阻抗,并近似等于Xc阻抗(忽略此处曲线R的贡献)。

如果觉得以上建模方式主观性较强(对XL及Xc的取点上主观性很强),可以尝试下面介绍的顶点采样的方法,这样可以在一定程度上避免因为取点的随意性引起的建模误差。

                               
登錄/註冊後可看大圖

图10、磁珠的ZRX特性曲线(Tyco Electronics BMB2A1000LN2)
顶点建模法中,分别读取X和Z曲线顶点的阻抗值(Xpeak,Zpeak)和对应的频率(f_xpeak, f_zpeak),然后使用下列公式1.3、公式1.4及公式1.5,分别计算L_bead、Rac和Cpar。

公式1.3:

                               
登錄/註冊後可看大圖
公式1.4:

                               
登錄/註冊後可看大圖
公式1.5:

                               
登錄/註冊後可看大圖
五、动态变化着的磁珠的特性曲线

                               
登錄/註冊後可看大圖

图11、磁珠的ZRX特性曲线随着DC电流的变化 (TDK MPZ1608S101A)
磁珠规格书中的磁珠ZRX特性是磁珠的静态特性(DC Current=0mA时测得),图11表明磁珠的阻抗特性会随着流过的DC电流增加而降低。在使用磁珠时,特别是在电源场合应用磁珠时,需要考虑到磁珠的特性随着电流增加而发生变化的趋势。

因此,磁珠的建模与仿真只是为了提供一个方向和趋势,而实际情况会于仿真结果会有较大的差异,因此在使用磁珠时还是免不了“凑”、“尝试”的看起来很不专业但实际上比较高效的方式。


作者: 小學徒    時間: 2022-12-24 22:34
https://zhuanlan.zhihu.com/p/38227245




歡迎光臨 左岸論壇 (https://www.leftbank168.com/) Powered by Discuz! X3.2